Вернуться к содержанию учебника
Выберите год учебника
№696 учебника 2018-2020 (стр. 121):
В цехе имелись токарные, фрезерные и шлифовальные станки. Токарные станки составляли
всех этих станков. Число шлифовальных станков составляло
числа токарных станков. Сколько всего станков этих видов было в цехе, если фрезерных станков было на 8 меньше, чем токарных?
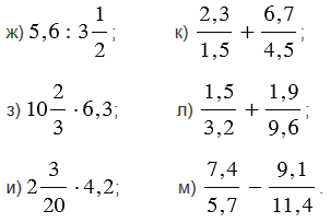
№696 учебника 2011-2017 (стр. 111):
Выполните действие:

№696 учебника 2018-2020 (стр. 121):
Вспомните:
№696 учебника 2011-2017 (стр. 111):
Вспомните:
Вернуться к содержанию учебника